Preprints – Journal articles – Reviews & Book Chapters – Other
Preprints
1. Synthesis, characterization and reactivity of a series of alkaline earth and rare earth iminophosphoranomethanide complexes: M.P. Stevens, Y. Liu, R. Hawker, L. Lezama, D. Reta, F. Ortu, ChemRxiv, 2024, DOI: 10.26434/chemrxiv-2024-d2cb2.
Journal articles (go back to the top)
59. Synthesis and characterization of 3-aryl-1-(2-pyridyl)imidazo[1,5-a]pyridine molecules. Structural and conformational studies: G. Senzacqua, S. Pischedda, F. Ortu, I. Tolbatov, A. Zucca, S. Stoccoro, J. Mol. Struct., 2025, accepted manuscript, DOI: j.molstruc.2025.143717.

58. Synthesis, characterization and reactivity of a series of alkaline earth and rare earth iminophosphoranomethanide complexes: M.P. Stevens, Y. Liu, E. Alexopoulos, S.S.A. Xec Daudo, A. Khan, R.R. Hawker, L. Lezama, D. Reta, F. Ortu, Commun. Chem., 2025, 8, 175, DOI: 10.1038/s42004-025-01572-5. Preprint: ChemRxiv, 2024, DOI: 10.26434/chemrxiv-2024-d2cb2.

57. Osteosarcoma Cell and Osteosarcoma Stem Cell Potent Immunogenic Bi-Nuclear Gallium(III) Complexes: X. Feng, S. Dhandore, Y. Liu, K. Singh, F. Ortu, K. Suntharalingam, Chem. Eur. J., 2025, 31, e002500747, DOI: 10.1002/chem.202500747.

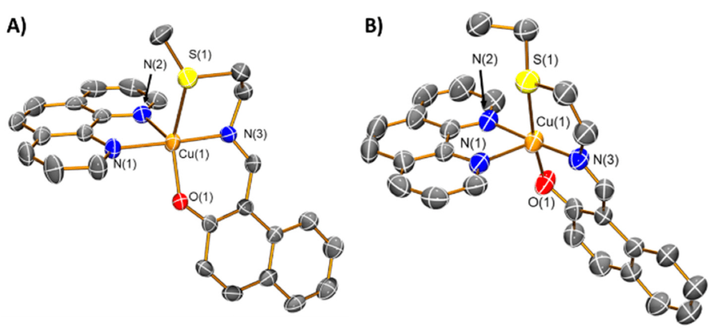
56. Synthesis and Characterisation of Phosphino-aryloxide Rare Earth Complexes: E. Alexopoulos, Y. Liu, A.W.J. Bowles, B.L.L. Réant, F. Ortu, Molecules, 2024, 29, 5757, DOI: 10.3390/molecules29235757.

55. Heavy Alkaline Earth Cyclic (Alkyl)(Amino)Carbene Complexes Supported by Aryl-silyl Amides: A.W.J. Bowles, Y. Liu, M.P. Stevens, F. Ortu, Inorg. Chem., 2024, 63, 22061, DOI: 10.1021/acs.inorgchem.4c03494.

54. Mechanochemical Synthesis, Characterization and Reactivity of a Room Temperature Stable Calcium Electride: A.W.J. Bowles, J.A. Quirk, Y. Liu, G.H. Morritt, M. Freitag, G.F.S. Whitehead, A.W. Woodward, A. Brookfield, C.A.P. Goodwin, D. Collison, F. Tuna, C.L. McMullin, J.A. Dawson, E. Lu, F. Ortu, J. Am. Chem. Soc., 2024, 146, 28914, DOI: 10.1021/jacs.4c09408. Preprint: Research Square, 2024, DOI: 10.21203/rs/3/rs-465560/v1. Highlighted in Knowable Magazine.

53. Synthesis and characterization of alkali metal iminophosphoranomethanide complexes: M.P. Stevens., Y. Liu, K. Cooke, R.R. Hawker, F. Ortu, Polyhedron, 2024, 261, 117127, DOI: 10.1016/j.poly.2024.117127. Part of a special issue dedicated to Rab Mulvey on the occasion of his 65th birthday.

52. Ligand Effects on the Spin Relaxation Dynamics and Coherent Manipulation of Organometallic La(II) Potential Qudits: L.E. Nodaraki, A.-M. Ariciu, D.N. Huh, J. Liu, D.O.T.A. Martins, F. Ortu, R.E.P. Winpenny, N.F. Chilton, E.J.L. McInnes, D.P. Mills, W.J. Evans, F. Tuna, J. Am. Chem. Soc., 2024, 146, 15000, DOI: 10.1021/jacs.3c12827.

51. An immunogenic anti-cancer stem cell bi-nuclear copper(II)-flufenamic acid complex: Y. Li, J. Fang, K. Singh, F. Ortu, R. Suntharalingam, Dalton Trans., 2024, 53, 6410, DOI: 10.1039/D4DT00384E.

50. B(C6F5)3-Catalyzed Dehydrogenation of Pyrrolidines to Form Pyrroles: A. Alvarez-Montoya, J.P. Gillions, L. Winfrey, R. R. Hawker, K. Singh, F. Ortu, Y. Fu, Y. Li, A.P. Pulis, ACS Catal., 2024, 14, 4856, DOI: 10.1021/acscatal.3c05444.

49. Metal-carbon bonding in early lanthanide substituted cyclopentadienyl complexes probed by pulsed EPR spectroscopy: L.E. Nodaraki, J. Liu, A.M. Ariciu, F. Ortu, M. Oakley, L. Birnoschi, G.K. Gransbury, P. Cobb, J. Emerson-King, N.F. Chilton, D.P. Mills, E.J.L. McInnes, F. Tuna, Chem. Sci., 2024, 15, 3003, DOI: 10.1039/D3SC06175B. Preprint: ChemRxiv, 2023, DOI: 10.26434/chemrxiv-2023-tvmr0.

48. Chirality generated by hindered rotations in platinum(II)-pyridine complexes: S. Stoccoro, A. Sini, G. Senzacqua, L. Maidich, F. Ortu, A. Zucca, Eur. J. Inorg. Chem., 2023, 27, e202300649, DOI: 10.1002/ejic202300649.

47. Non-classical early lanthanide(II) tris(di-tert-butylcyclopentadienyl) complexes: J. Liu, L. Nodaraki, D. Martins, M. Giansiracusa, P. Cobb, J. Emerson-King, F. Ortu, G. Whitehead, G. Gransbury, E. McInnes, F. Tuna, D.P. Mills, Eur. J. Inorg. Chem., 2023, accepted article, DOI: 10.1002/ejic.202300552. Assigned as VIP by the journal. Preprint: ChemRxiv, 2023, DOI: 10.26434/chemrxiv-2023-nhfxr.

46. The Anti-Breast Cancer Stem Cell Potency of Copper(I)-Non-Steroidal Anti-Inflammatory Drug Complexes: A. Johnson, X. Feng, K. Singh, F. Ortu, K. Suntharalingam, Molecules, 2023, 28, 6470, DOI: 103390/molecules28176401.

45. A Blueprint for the Stabilization of Sub-Valent Alkaline Earth Complexes: A.J.W. Bowles, Y. Liu, M.P. Stevens, I.J. Vitorica-Yrezabal, C.L. McMullin, F. Ortu, Chem. Eur. J., 2023, 29, e202307850, DOI: 10.1002/chem.202301850. Preprint: ChemRxiv, 2023, DOI: 10.26434/chemrxiv-2023-jdtlw.

44. The Bulk Breast Cancer Cell and Breast Cancer Stem Cell Activity of Bi-nuclear Copper(II)-Phenanthroline Complexes: P. Osei, J. Northcote-Smith, J. Fang, K. Singh, F. Ortu, K. Suntharalingam, Chem. Eur. J., 2023, 29, e202301188, DOI: 10.1002/chem.202301188.

43. Synthesis and characterization of two self-assembled [Cu6Gd3] and [Cu5Dy2] complexes exhibiting magnetocaloric effect, slow relaxation of magnetization and anticancer activity: A. Bhanja, S. R. Chaudhuri, A. B. Canaj, S. P. Vyas, F. Ortu, L. Smythe, M. Murrie, R. Goswami, D. Ray, Dalton Trans., 2023, 52, 3795, DOI: 10.1039/D2DT03932J.

42. Structural Investigation of Magnesium Complexes Supported by a Thiopyridyl Scorpionate Ligand: M.P. Stevens, E. Spray, I.J. Vitorica-Yrezabal, K. Singh, V.M. Timmermann, L. Sotorrios, F. Ortu, Molecules, 2022, 27, 4564, DOI: 10.3390/molecules27144564.

41. Synthesis, Characterisation and Reactivity of Group 2 Complexes with a Thiopyridyl Scorpionate Ligand: M.P. Stevens, E. Spray, I.J. Vitorica-Yrezabal, K. Singh, V.M. Timmermann, L. Sotorrios, S.A. Macgregor, F. Ortu, Dalton Trans., 2022, 51, 11922, DOI: 10.1039/D2DT02012B.

40. Synthesis of heteroleptic yttrium and dysprosium 1,2,4-tris(trimethylsilyl)cyclopentadienyl complexes: S.C. Corner, C.A.P. Goodwin, F. Ortu, P. Evans, H. Zhang, G.K. Gransbury, G.F.S. Whitehead, D.P. Mills, Aust. J. Chem., 2022, 75, 684, DOI: 10.1071/CH21314.

39. A bioinspired redox-modulating copper(II)-macrocyclic complex bearing non-steroidal anti-inflammatory drugs with anti-cancer stem cell activity: A. Johnson, L. Iffland, J. Northcote-Smith, K. Singh, F. Ortu, U.-P. Apfel, K. Suntharalingam, Dalton Trans., 2022, 51, 5904, DOI: 10.1039/D2DT00788F.

38. Functionalized Tris(anilido)triazacyclononanes as Hexadentate Ligands for the Encapsulation of U(III), U(IV) and La(III) Cations: A. Formanuik, F. Ortu, I. J. Vitorica-Yrezabal, F. Tuna, E. J. L. McInnes, L. S. Natrajan, David P. Mills, Inorganics, 2021, 9, 86, DOI: 10.3390/inorganics9120086.

37. Photoluminescence of Pentavalent Uranyl Amide Complexes: F. Ortu, S. Randall, D.J. Moulding, A. Woodward, A. Kerridge, K. Meyer, H.S. La Pierre, L.S. Natrajan, J. Am. Chem. Soc., 2021, 143, 13184, DOI: 10.1021/jacs.1c05184. Preprint: ChemRxiv, 2021, DOI: 10.26434/chemrxiv.14602632.v1.

36. Synthesis of Heptanuclear Ni4Dy3 Coordination Aggregate Using Tridentate Ligand: X-ray Structure, Magnetism and Theoretical Studies: A. Bhanja, L. Smythe, K. Kotrle, F. Ortu, R. Herchel, M. Murrie, D. Ray, Inorg. Chim. Acta, 2021, 526, 120524, DOI: 10.1016/j.ica.2021.120524.

35. Synthesis and characterization of new Pd(II) and Pt(II) complexes with 3-substituted 1-(2-pyridyl)imidazo[1,5-a]pyridine ligands: S. Stoccoro, S. Pischedda, A. Zucca, G. Sciortino, F. Ortu, G. Clarkson, Dalton Trans., 2021, 50, 4859, DOI: 10.1039/D1DT00546D.

34. Breast Cancer Stem Cell Active Copper(II) Complexes with Naphthol Schiff Base and Polypyridyl Ligands: J. Northcote-Smith, A. Johnson, K. Singh, F. Ortu, K. Suntharalingam, Inorganics, 2021, 9(1), 5, DOI: 10.3390/inorganics9010005.

33. Structural, theoretical and spectroscopic characterisation of a series of novel gold(I)-norbornene complexes supported by phenantrolines: effects of the supporting ligand: M. A. Cinellu, M. Arca, F. Ortu, S. Stoccoro, A. Zucca, A. Pintus, L. Maiore, Eur. J. Inorg. Chem., 2019, 44, 4784, DOI:10.1002/ejic.201901116.

Papers from PDRA (University of Manchester) and PhD (University of Nottingham) work (2010-2019)
Reviews and book chapters (go back to the top)
5. Rare Earth Starting Materials and Methodologies for Synthetic Chemistry: F. Ortu, Chem. Rev., 2022, 122, 6040, DOI: 10.1021/acs.chemrev.1c00842.
4. Alkylidene Complexes of the Group 3 Metals and Lanthanides: M.P. Stevens, F. Ortu, Comprehensive Organometallic Chemistry vol. IV, 2022, 3, 268, DOI: 10.1016/B978-0-12-820206-7.00002-0.
3. Strangely attractive: Collaboration and feedback in the field of molecular magnetism: C.A.P. Goodwin, F. Ortu, D. Reta, Int. J. Quantum Chem., 2020, 14, e26248 DOI: 10.1002/qua.26248. Preprint: Authorea, 2020, DOI: au.158318812.27609826.
2. Low coordinate rare earth and actinide complexes: F. Ortu, D.P. Mills, Handbook on the Physics and Chemistry of Rare Earths, 2019, 55, 1, DOI: 10106/bs.hpcre.2019.05.001.
1. New Vistas in the Molecular Chemistry of Thorium: Low Oxidation State Complexes: F. Ortu, A. Formanuik, J.R. Innes, D.P. Mills, Dalton Trans., 2016, 45, 7537, DOI: 10.1039/B904318G. Assigned as Hot Paper by the journal.
Other articles and publications (go back to the top)
2. Building careers and skills in S&T for national and global challenges – Foundation Future Leaders 2024 Conference, FST Journal, March 2025, Volume 23, Issue 10; DOI:10.53289/CIVM2963.
1. Unlocking the potential for thorium nuclear power: A. Formanuik, F. Ortu, D.P. Mills, Materials World, 2017. Materials World Magazine website.